Предмет: Физика,
автор: pixiieville
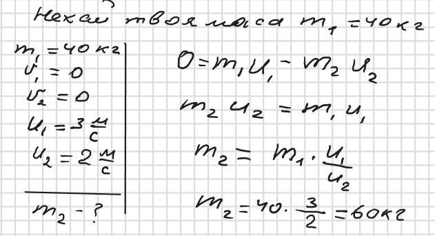
Уяви ти стрибаєш із нерухомого човна на берег. Швидкість з якою ти стрибаєш 3 м/с. Якою є маса човна, якщо він набрав швидкість, що дорівнює 2 м/с. Візьми свою масу та обчисли задачу.
Ответы
Автор ответа:
0
Ответ: 60 кг
Объяснение:
Приложения:
Похожие вопросы
Предмет: Английский язык,
автор: fomichev12321
Предмет: Окружающий мир,
автор: лола187
Предмет: Другие предметы,
автор: LoveShool1
Предмет: Українська література,
автор: Liltvoyomyt777
Предмет: Биология,
автор: Авадон