Предмет: Алгебра,
автор: kusyaveronika
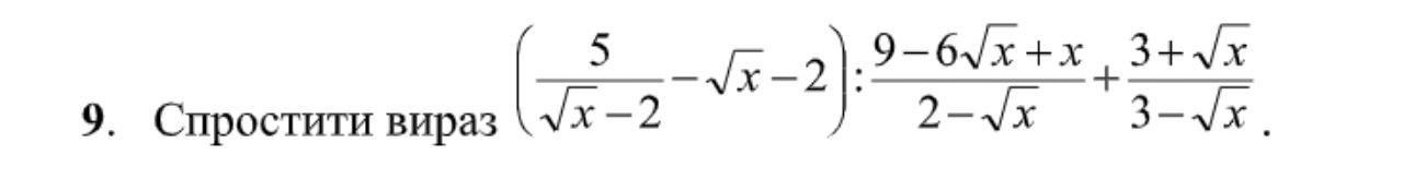
Помогите пожалуйста решить
Приложения:
Ответы
Автор ответа:
2
Детальное решение на фото
Приложения:
Похожие вопросы
Предмет: Русский язык,
автор: онлайн3
Предмет: Французский язык,
автор: kopeiko200
Предмет: Русский язык,
автор: арина916
Предмет: История,
автор: viktoriiadeineko
Предмет: Математика,
автор: nadja76