Предмет: Математика,
автор: krassavchik55555
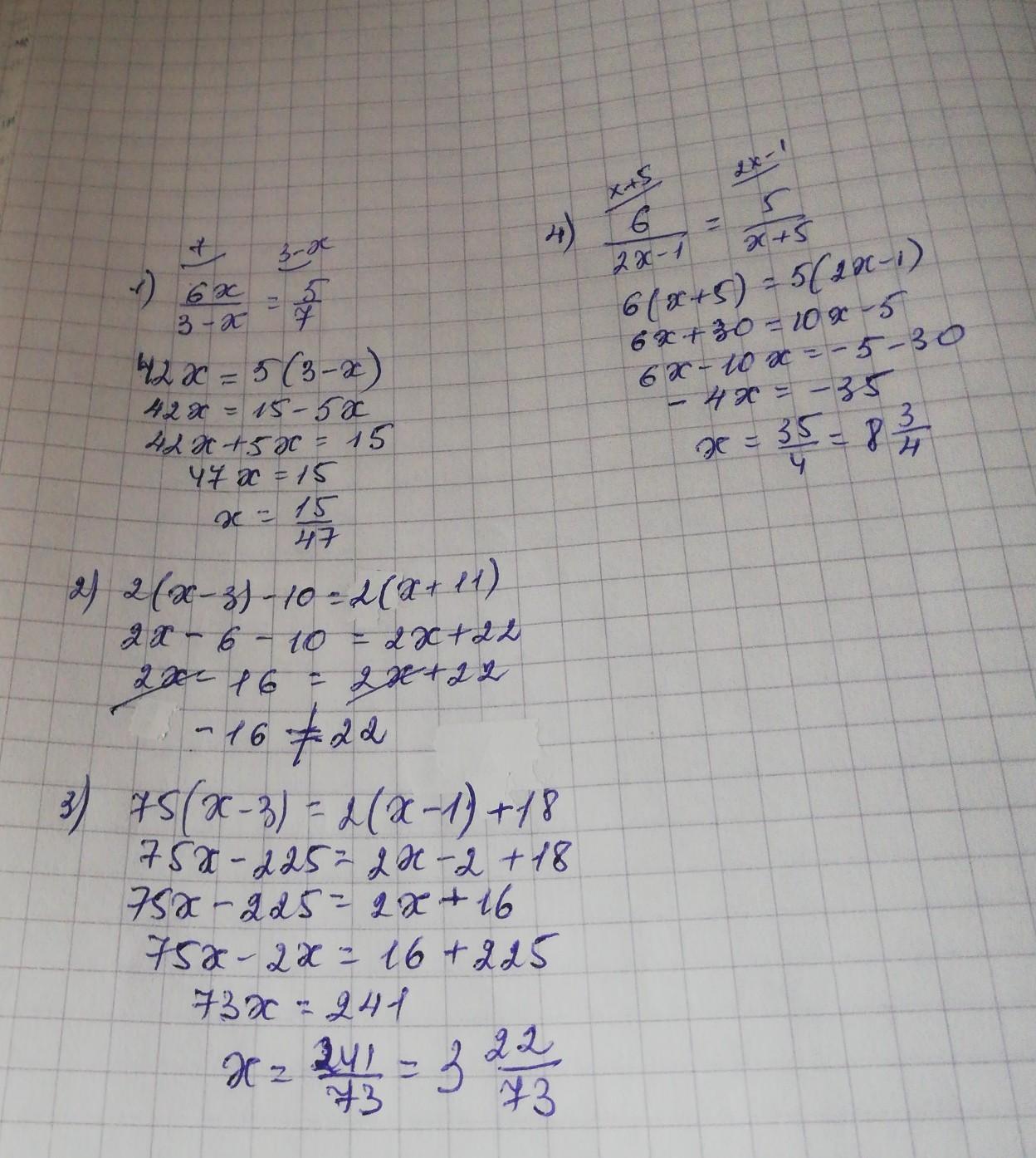
Решите уравнение. Дам 20 баллов
Приложения:
Аноним:
Какое з них?
надо все
Ответы
Автор ответа:
1
Ответ:
Смотри решение на фото...
Приложения:
Спасибо большое)
Похожие вопросы
Предмет: Русский язык,
автор: Темирлан3класс
Предмет: Русский язык,
автор: meri1988
Предмет: Русский язык,
автор: зани
Предмет: Математика,
автор: arinabulatova06
Предмет: Қазақ тiлi,
автор: artyom5576