Предмет: Информатика,
автор: ansarberikbosyn
Блок схема 100 баллов
Приложения:
Ответы
Автор ответа:
1
Ответ:
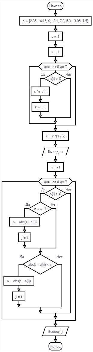
скрин
Объяснение:
a=[2.35,-4.15,0,-3.1, 7.8, 6.3,-3.05,1.5]
s=1
k=0
for i in range(len(a)):
if a[i]>0:
s*=a[i]
k+=1
s=s**(1/k)
print(s)
n=-1
for i in range(len(a)):
if a[i]>0:
if n==-1:
n=abs(s-a[i])
j=i
if abs(s-a[i]) < n:
n=abs(s-a[i])
j=i
print(j)
Приложения:
ansarberikbosyn:
большое спасибо вам :)
Похожие вопросы
Предмет: Русский язык,
автор: Marinochka12345
Предмет: Русский язык,
автор: котя642
Предмет: Английский язык,
автор: Andey921
Предмет: Английский язык,
автор: baymagambetovaa1
Предмет: Алгебра,
автор: Аноним