Предмет: Математика,
автор: nkovalcuk918
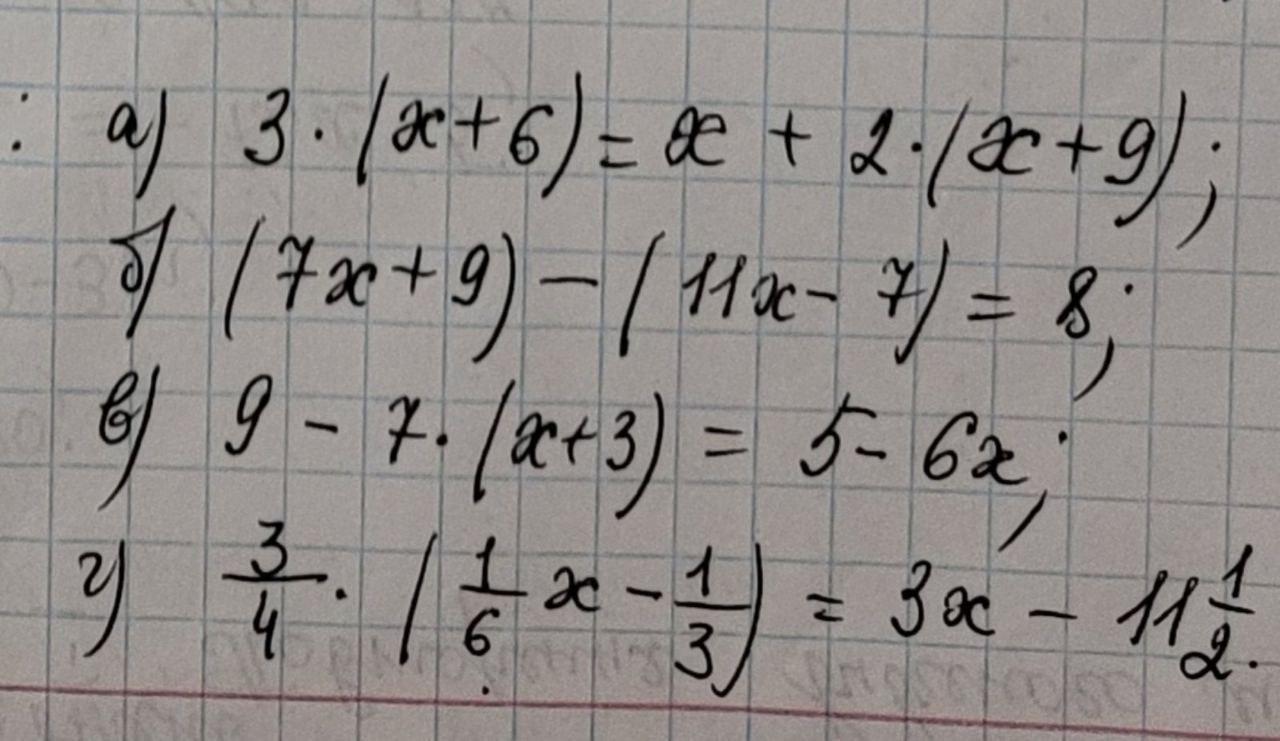
Помогите пожалуйста решить
Приложения:
Ответы
Автор ответа:
1
Ответ:
a)x=любое
б)x=2
в)x=-17
г)x=2,1
Пошаговое объяснение:
a) 3x+18=x+2x+18 3x-x-2x=18-18 0=0 x=любое
б) 7x+9-11x+7=8 -4x=-8 x=2
в) 9-7x-21=5-6x -x=17 x=-17
г)1/2x-1/4=3x-11 1/2 1/2x-3x=1/4-11 1/2
1/2x-3x=1/4-22/4 -2 1/2x=-21/4
x=(-21/4)/(-5/2x) x=2,1
Похожие вопросы
Предмет: Русский язык,
автор: rostislavbabaev
Предмет: Окружающий мир,
автор: tutikovn
Предмет: Другие предметы,
автор: Антуримия
Предмет: Обществознание,
автор: Aventel
Предмет: Литература,
автор: homkafoky