Предмет: Алгебра,
автор: mor2007oz
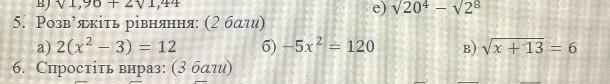
Розв'яжіть рівняння
Приложения:
Ответы
Автор ответа:
1
Ответ:
Смотри решение на фото..
Приложения:
Похожие вопросы
Предмет: Русский язык,
автор: NIKDAG2017
Предмет: Английский язык,
автор: nataliboroda80
Предмет: Английский язык,
автор: Solnuschko19
Предмет: Физика,
автор: magamedfaxralinskiy