Предмет: Математика,
автор: Аноним
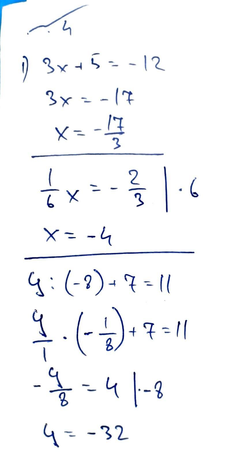
Короч время почти 6 утра а мне вставать в 10 и пока я сплю надеюсь кто то сделает это по математике и быстро перепишу, пожалуйста <3 я ещё следующее фото выставлю тут нельзя 2 фото закрепить(
Приложения:
Ответы
Автор ответа:
1
Ответ:
Привет, все ответы с решениями записаны на листочке, надеюсь что смог тебе помочь, и удачи в школе! А я пожалуй тоже пойду спать))
Приложения:
Похожие вопросы
Предмет: Русский язык,
автор: ПоттерРоман
Предмет: Русский язык,
автор: blashkova200306
Предмет: Русский язык,
автор: gum01032015
Предмет: Химия,
автор: skksls37pqqppq