Предмет: Математика, автор: k11t6287

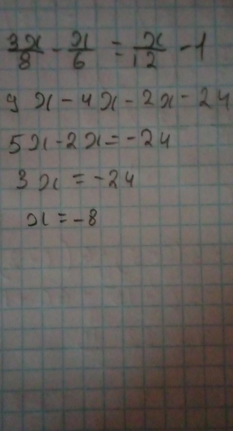
1291. Решите уравнения: 3) 3x/8-x/6=x/12-1.​

Ответы

Автор ответа: roskisvira
4

Пошаговое объяснение:

я не писала 1 ряд....б.............

Приложения:

k11t6287: А то думол их 8;6;12 объеденяет число 2
Похожие вопросы
Предмет: Русский язык, автор: bigfanatka
1. Укажите, к какому явлению - многозначности или омонимии - относятся эти слова. Ответ обоснуйте.
1. Кадет (до 1917 года: воспитанник среднего военного учебного заведения). Кадет (член конституционно-демократической партии в дореволюционной России).
2. Карьер (самый быстрый конский бег). Карьер (место открытой разработки неглубоко залегающих ископаемых).
3. Кок (торчащий вихор, например, "прическа с коком"). Кок (повар на судне).
4. Кокетка (женщина, стремящаяся своим нарядом, поведением понравиться кому-нибудь). Кокетка (отрезная часть сорочки, платья).
5. Колода (короткое толстое бревно). Колода (комплект игральных карт). Колода (предмет, представляющий собой бревно с выдолбленной серединой). Колода (о толстом, неповоротливом человеке).
6. Крошка (то же, что малютка). Крошка (мелкая частица чего-нибудь).
7. Кулон (драгоценный камень на цепочке). Кулон (единица измерения количества электричества).
8. Лава (расплавленная минеральная масса, выбрасываемая вулканом на земную поверхность при извержении). Лава (казачья атака -охват противника в конном рассыпном строю). Лава (в шахте: забой со сплошной системой разработки угольного пласта).
9. Лайка (порода собак). Лайка (сорт мягкой кожи).
10. Лад (согласие, мир, порядок). Лад (образец, способ, например, "на другой лад сделать что-нибудь"). Лад (строй музыкального произведения, сочетание звуков и созвучий). Лад (поперечное деление на грифе струнных инструментов). Лады (клавиши духовых инструментов).
11. Лоцман (проводник судов, хорошо знающий фарватер). Лоцман (небольшая морская рыба, плавающая обычно около акул).
12. Мандарин (крупный чиновник в дореволюционном Китае). Мандарин (цитрусовое плодовое дерево, а также его плод).