Предмет: Математика,
автор: druzautubery37
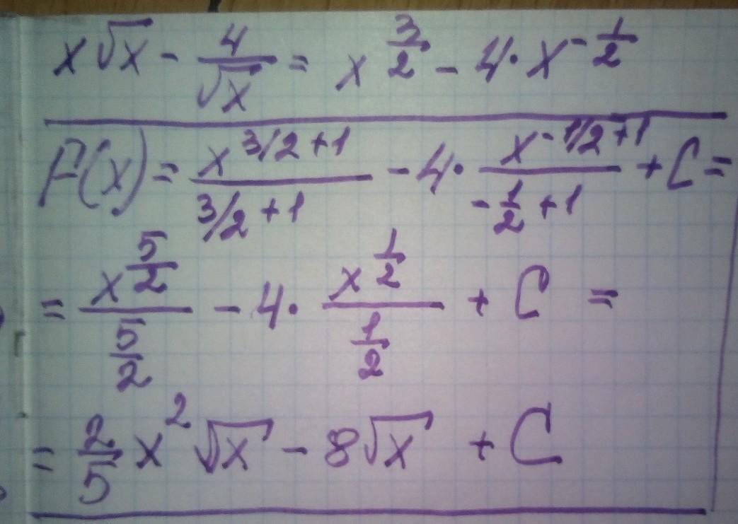
найти все первообразные даной функции.
помогите пожалуйста!!
Приложения:
Ответы
Автор ответа:
0
Ответ:
решение смотри на фотографии
Приложения:
Похожие вопросы
Предмет: Русский язык,
автор: marishka34
Предмет: Русский язык,
автор: npohomov
Предмет: Окружающий мир,
автор: таля4
Предмет: ОБЖ,
автор: Pomohhhhhh
Предмет: Алгебра,
автор: anutaannenkova