Предмет: Алгебра,
автор: vvaattyaa
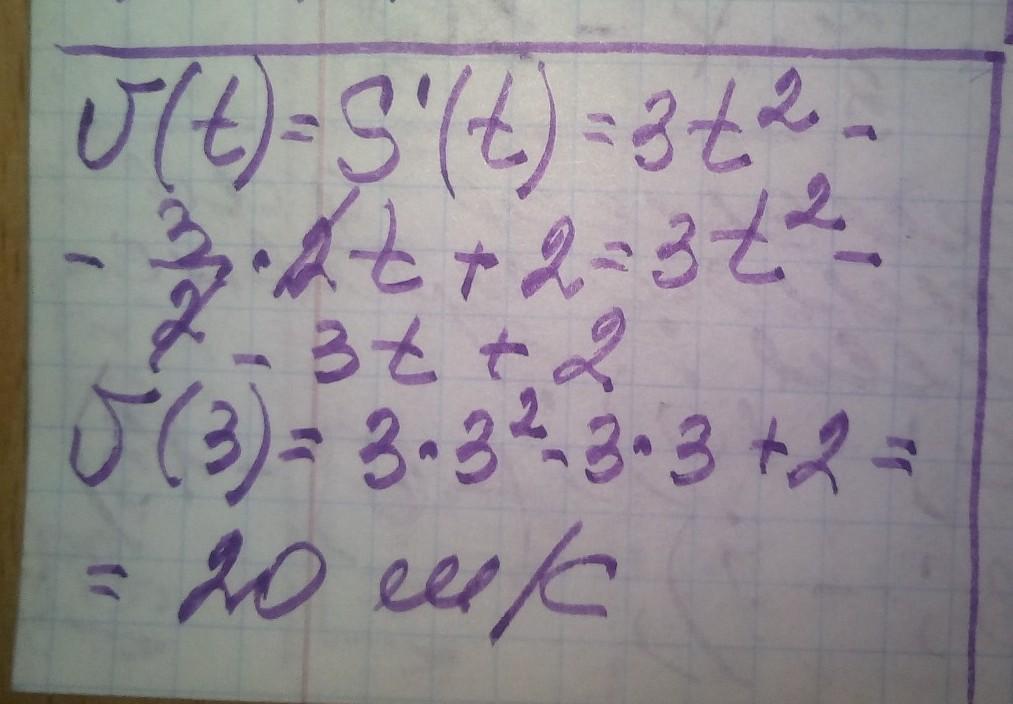
Материальная точка движется прямолинейно по закону S(t), где t измеряется в секундах, а S - в метрах. Найдите скорость точки в момент времени t0, если:
Приложения:
Ответы
Автор ответа:
1
Ответ:
решение смотри на фотографии
Приложения:
vvaattyaa:
спасибо большое! очень выручили
Похожие вопросы
Предмет: Русский язык,
автор: manlea1
Предмет: Английский язык,
автор: death0101
Предмет: Русский язык,
автор: аимШ
Предмет: Русский язык,
автор: mams03