Предмет: Математика,
автор: OnikaMonika
Помогите плис)
Даю 30 балов! Решение написать везде!
Приложения:
Ответы
Автор ответа:
1
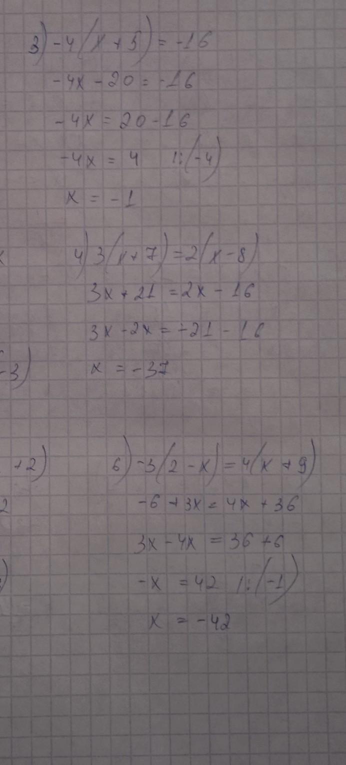
Ответ:
. ........................
Приложения:
Похожие вопросы
Предмет: Русский язык,
автор: Barbariska0308
Предмет: Окружающий мир,
автор: лизаильичёва
Предмет: Другие предметы,
автор: Аноним
Предмет: Английский язык,
автор: Аноним
Предмет: Математика,
автор: canon93