Предмет: Алгебра,
автор: Аноним
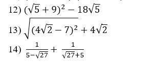
СРОЧНО ДАЮ 80 БАЛЛОВ.КОРНИ.
Приложения:
Ответы
Автор ответа:
1
Ответ:
решение смотри на фотографии
Приложения:
Похожие вопросы
Предмет: Русский язык,
автор: Daulet3006432
Предмет: Русский язык,
автор: sleta1998A
Предмет: Английский язык,
автор: карина1602
Предмет: Математика,
автор: WeatherFight
Предмет: Английский язык,
автор: ezgigokce