Предмет: Математика,
автор: zarinasavchenko0712

помогите пожалуйста
Ответы
Автор ответа:
1
Ответ:
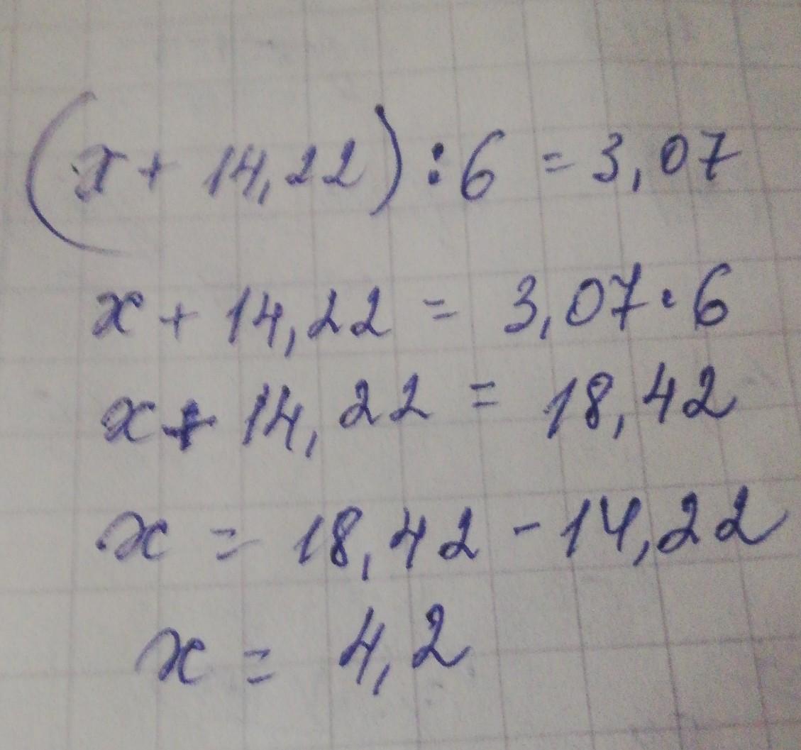
Смотри решение на фото..
Приложения:
Похожие вопросы
Предмет: Русский язык,
автор: 96Настенька96
Предмет: Русский язык,
автор: АлёночкаГогина
Предмет: Русский язык,
автор: Аноним
Предмет: Физика,
автор: Dovakin124764
Предмет: Қазақ тiлi,
автор: Saydullaev14