Предмет: Математика, автор: Ichbincool2

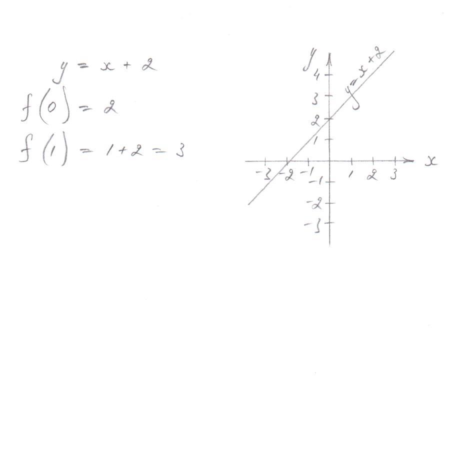
Постройте график функции у=х+2. На основании графика определите,расположены или нет на графике точки М(0;2),N(1;3),A(-1;1),B(-4,7;-2,7),C(-2 1/2;1/2). Как можно определить относятся или нет эти точки к графику функции у=х+2 не построив графика.
ПОМОГИТЕ ПОЖАЛУЙСТА

Ответы

Автор ответа: vernolub
1

Пошаговое объяснение:

Чтобы определить относится ли точка к графику нужно подставить в уравнение графика координат точки. Если уравнение обратится в тождество, значит, точка принадлежит графику, если нет, то не принадлежит.

M(0; 2):\ 2=0+2;\ 2=2,\\N(1; 3):\ 3=1+2;\ 3=3,\\A(-1; 1):\ 1=-1+2;\ 1=1,\\B(-4.7; -2.7):\ -2.7=-4.7+2;\ -2.7=-2.7,\\C(-2\frac{1}{2};  \frac{1}{2}):\ \frac{1}{2}=-2\frac{1}{2}+2;\ \frac{1}{2}\neq-\frac{1}{2}

Приложения:
Похожие вопросы