Предмет: Физика,
автор: augustshneyder
Допоможіть будь ласка 9 класс
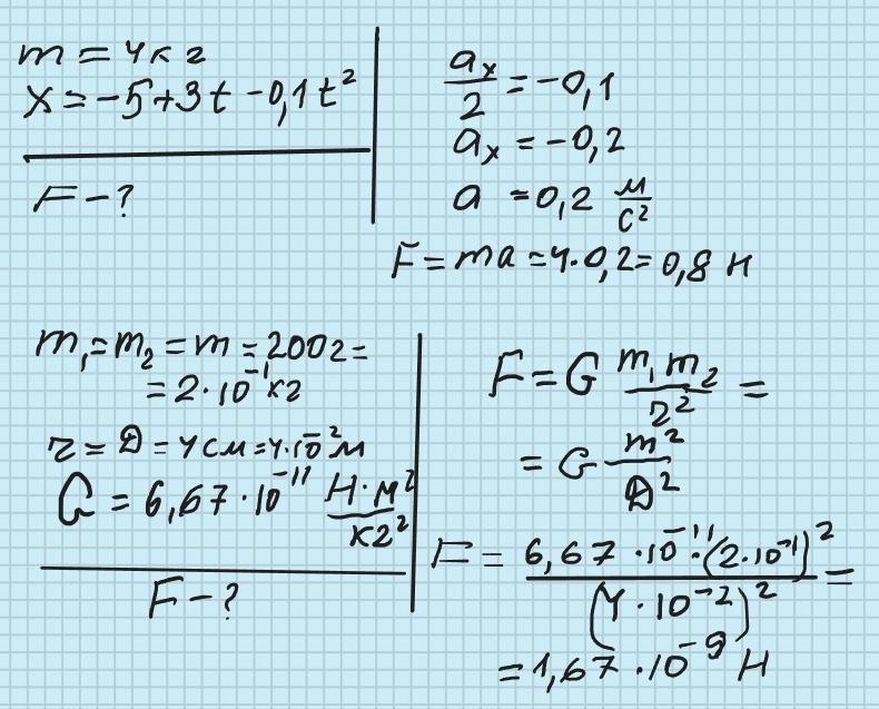
Розв'язання з Дано:
Приложения:
Ответы
Автор ответа:
0
Ответ: 245 Н 0,8 Н 1,67 нН
Объяснение:
Приложения:
Похожие вопросы
Предмет: Английский язык,
автор: Skaman101
Предмет: Английский язык,
автор: светлана391
Предмет: Английский язык,
автор: kate459
Предмет: Математика,
автор: Happypeople676
Предмет: Математика,
автор: malasickaaelizoveta3