Предмет: Русский язык,
автор: Yana843
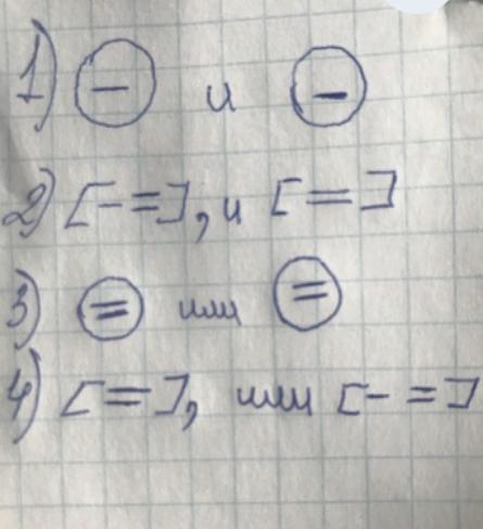
Срочно! Составьте 4 ПРЕДЛОЖЕНИЯ к данным схемам:
Приложения:
Ответы
Автор ответа:
1
Ответ:
1. Бабушка__ и дедушка__ ждут меня в гости на выходных.
○_ и ○_
2. [Я__ был== голоден==], и [очень хотелось== спать==].
[__ ==], и [==].
3. Придется уйти или уступить.
○= или ○=
4. [Дорешивай== задачу], или [я__ поставлю== тебе "неуд"].
[==], или [__ ==].
Объяснение: подлежаще__, сказуемое==.
Похожие вопросы
Предмет: Русский язык,
автор: Лаги10
Предмет: Русский язык,
автор: Гнойный1337
Предмет: Другие предметы,
автор: Sammmmmt
Предмет: Українська мова,
автор: Ghfbbghjhgf
Предмет: Физика,
автор: 13modya13