Предмет: Математика,
автор: irinaluka
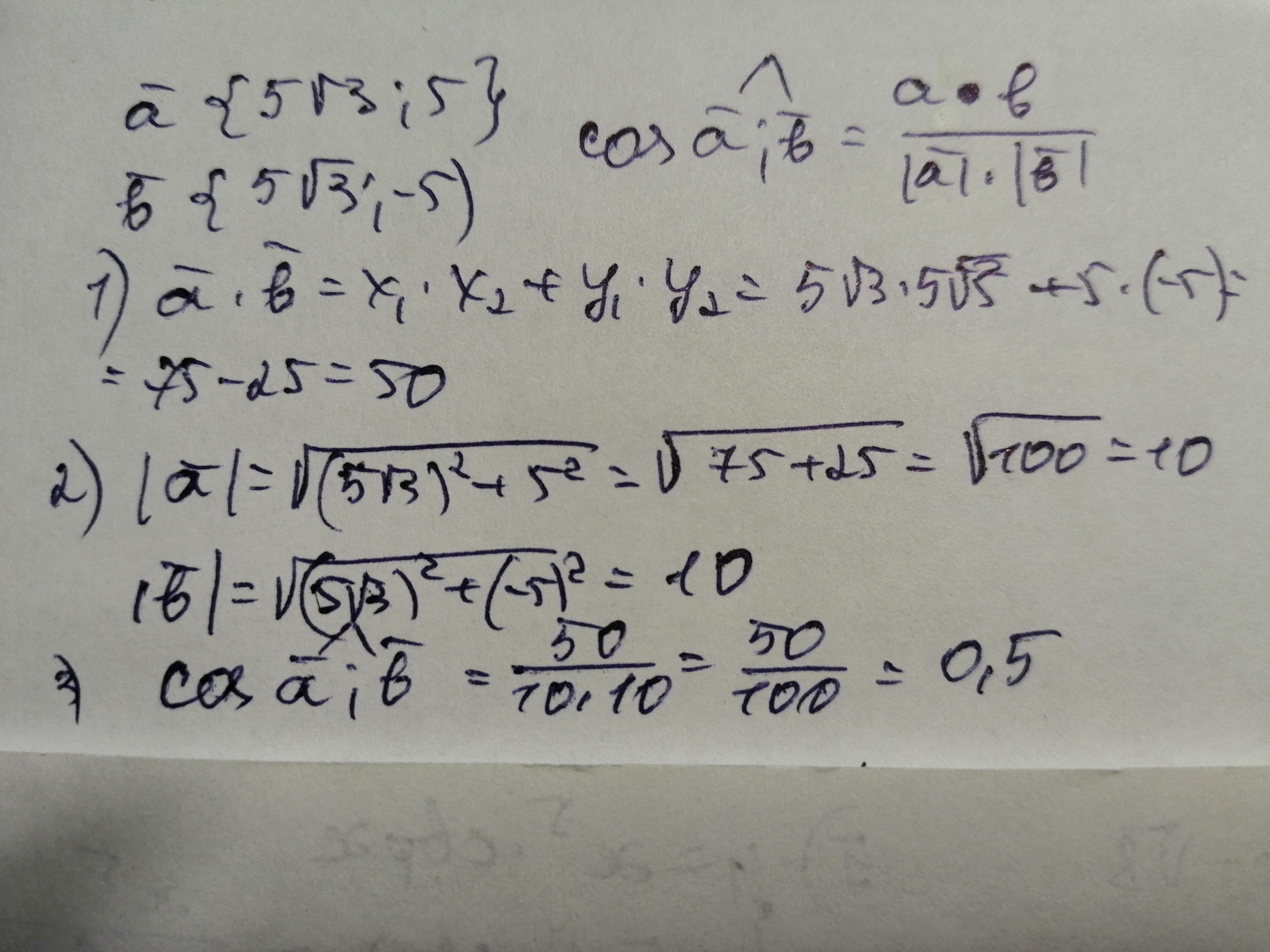
Найдите косинус углов между векторами a и, если a(5√3;5) и b(5√3;-5)
Ответы
Автор ответа:
1
Ответ:
Пошаговое объяснение:
Если что , то сам угол равен 60°
Приложения:
Похожие вопросы
Предмет: Русский язык,
автор: UMNAYASOVUSHKA
Предмет: Английский язык,
автор: BKOCMOCE
Предмет: Английский язык,
автор: marianna53
Предмет: Физика,
автор: rdr0
Предмет: Математика,
автор: arsenigrigorev0