Предмет: Алгебра,
автор: yolikchesar
Помогите решить пожалуйста
Приложения:
Ответы
Автор ответа:
4
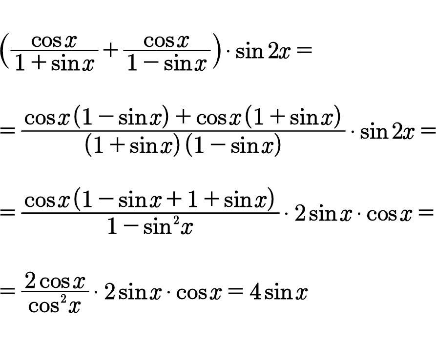
Ответ:
Объяснение:
.......................
Приложения:
Похожие вопросы
Предмет: Русский язык,
автор: простотак11112
Предмет: Другие предметы,
автор: mikey2
Предмет: Английский язык,
автор: venkos
Предмет: Информатика,
автор: ewqqwe5555
Предмет: Другие предметы,
автор: Tatarin0977