Предмет: Физика, автор: lauraklimcuk

діаметр поршнів гідравлічного пресу відрізняється в п'ять раз яку силу потрібно прикласти до більшого поршня , щоб урівноважити прес , якщо на меншому лежить вантаж 20 кг​

Ответы

Автор ответа: elena20092
2

Ответ:

5 000 H или 5 кН

Объяснение:

d₁ = d

d₂ = 5d

m₁ = 20 кг

g = 10 H/кг

-------------------

m₂  - ?

-------------------

Площадь опорной поверхности поршня

S = 0.25 πd²

Давление под  малым поршнем вычисляется по формуле

р = m₁g/S₁

Давление под  большим поршнем вычисляется по формуле

р = F₂/S₂

Давление в гидросистеме гидравлического прессе одинаково и под большим, и под малым поршнями, поэтому

\dfrac{4m_1g}{\pi d_1^2}= \dfrac{4F_2}{\pi d^2_2}

Откуда сила, прикладываемая к большому поршню, равна

F_2 = m_1g\cdot \dfrac{d_2^2}{d_1^2}  = 20\cdot 10\cdot \dfrac{25d^2}{d^2} =5000~(N) = 5~kN.

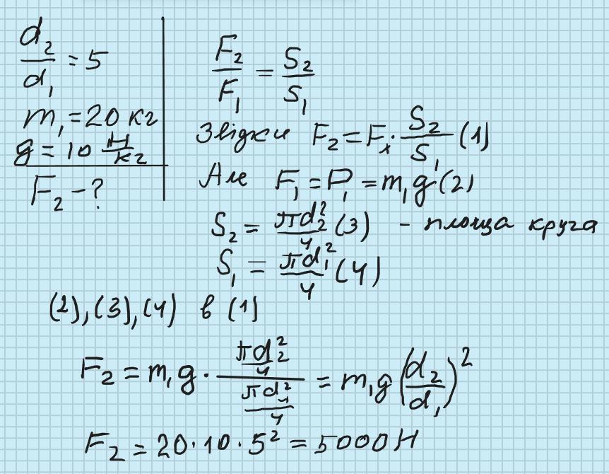
Автор ответа: zybkov1950
2

Ответ: 5 кН

Объяснение: Див. додаток

Приложения:
Похожие вопросы