Предмет: Алгебра, автор: duolanalekseev

Дам 20 баллов
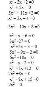
вопрос есть на картине​

Приложения:

Ответы

Автор ответа: jootaro
0

Ответ:

N1.

х²-3х+2=0

Решим дискриминантом.

D=b²-4ac

a=1

b=-3

c=2

D=(-3)²-4*1*2=9-8=1

D>0, значит у выражения два корня.

x1=(√D-b)/2a

x2=(-√D-b)/2a

x1=(√1+3)/2=4/2=2

x2=(-√1+3)/2=2/2=1

N2.

x²+5x=0

Решим дискриминантом.

D=b²-4ac

a=1

b=5

c=0

D=5²-4*1*0=25-0=25

D>0, значит у выражения два корня.

x1=(√D-b)/2a

x2=(-√D-b)/2a

x1=(√25-5)/2=0/2=0

x2=(-√25-5)/2=-10/2=-5

N3.

5x²+11x+2=0

Решим дискриминантом.

D=b²-4ac

a=5

b=11

c=2

D=11²-4*5*2=121-40=81

D>0, значит у выражения два корня.

x1=(√D-b)/2a

x2=(-√D-b)/2a

x1=(√81-11)/10=-2/10=-0,2

x2=(-√81-11)/10=-20/10=-2

N4.

x²-3x-4=0

Решим дискриминантом.

D=b²-4ac

a=1

b=-3

c=-4

D=(-3)²-4*1*(-4)=9+16=25

D>0, значит у выражения два корня.

x1=(√D-b)/2a

x2=(-√D-b)/2a

x1=(√25+3)/2=8/2=4

x2=(-√25+3)/2=-2/2=-1

N5.

3x²-10x+8=0

Решим дискриминантом.

D=b²-4ac

a=3

b=-10

c=8

D=(-10)²-4*3*8=100-96=4

D>0, значит у выражения два корня.

x1=(√D-b)/2a

x2=(-√D-b)/2a

x1=(√4+10)/6=12/6=2

x2=(-√4+10)/6=8/6=4/3

N6.

x²-x-6=0

Решим дискриминантом.

D=b²-4ac

a=1

b=-1

c=-6

D=(-1)²-4*1*(-6)=1+24=25

D>0, значит у выражения два корня.

x1=(√D-b)/2a

x2=(-√D-b)/2a

x1=(√25+1)/2=6/2=3

x2=(-√25+1)/2=-4/2=-2

N7.

3x²-27=0

3x²=27

x²=9

x=±3

N8.

x²+2x-3=0

Решим дискриминантом.

D=b²-4ac

a=1

b=2

c=-3

D=2²-4*1*(-3)=4+12=16

D>0, значит у выражения два корня.

x1=(√D-b)/2a

x2=(-√D-b)/2a

x1=(√16-2)/2=2/2=1

x2=(-√16-2)/2=-6/2=-3

N9.

5x²-9x-2=0

Решим дискриминантом.

D=b²-4ac

a=5

b=-9

c=-2

D=(-9)²-4*5*(-2)=81+40=121

D>0, значит у выражения два корня.

x1=(√D-b)/2a

x2=(-√D-b)/2a

x1=(√121+9)/10=20/10=2

x2=(-√121+9)/10=-2/10=-0,2

N10.

6x²+18x=0

6x(x+3)=0

x(x+3)=0

x=0

x+3=0

x=-3

x1=-3

x2=0

N11.

x²-x-2=0

Решим дискриминантом.

D=b²-4ac

a=1

b=-1

c=-2

D=(-1)²-4*1*(-2)=1+8=9

D>0, значит у выражения два корня.

x1=(√D-b)/2a

x2=(-√D-b)/2a

x1=(√9+1)/2=4/2=2

x2=(-√9+1)/2=-2/2=-1

N12.

x²+7x+12=0

Решим дискриминантом.

D=b²-4ac

a=1

b=7

c=12

D=7²-4*1*12=49-48=1

D>0, значит у выражения два корня.

x1=(√D-b)/2a

x2=(-√D-b)/2a

x1=(√1-7)/2=-6/2=-3

x2=(-√1-7)/2=-8/2=-4

N13.

2x²+8x=0

2x(x+4)=0

x(x+4)=0

x=0

x+4=0

x=-4

x1=-4

x2=0

N14.

x²-8x+15=0

Решим дискриминантом.

D=b²-4ac

a=1

b=-8

c=15

D=(-8)²-4*1*15=64-60=4

D>0, значит у выражения два корня.

x1=(√D-b)/2a

x2=(-√D-b)/2a

x1=(√4+8)/2=10/2=5

x2=(-√4+8)/2=6/2=3

N15.

9x²=0

x²=0

x=0

Похожие вопросы
Предмет: Математика, автор: Дахарок