Предмет: Алгебра,
автор: Kiryakkk
решите пожалуйста
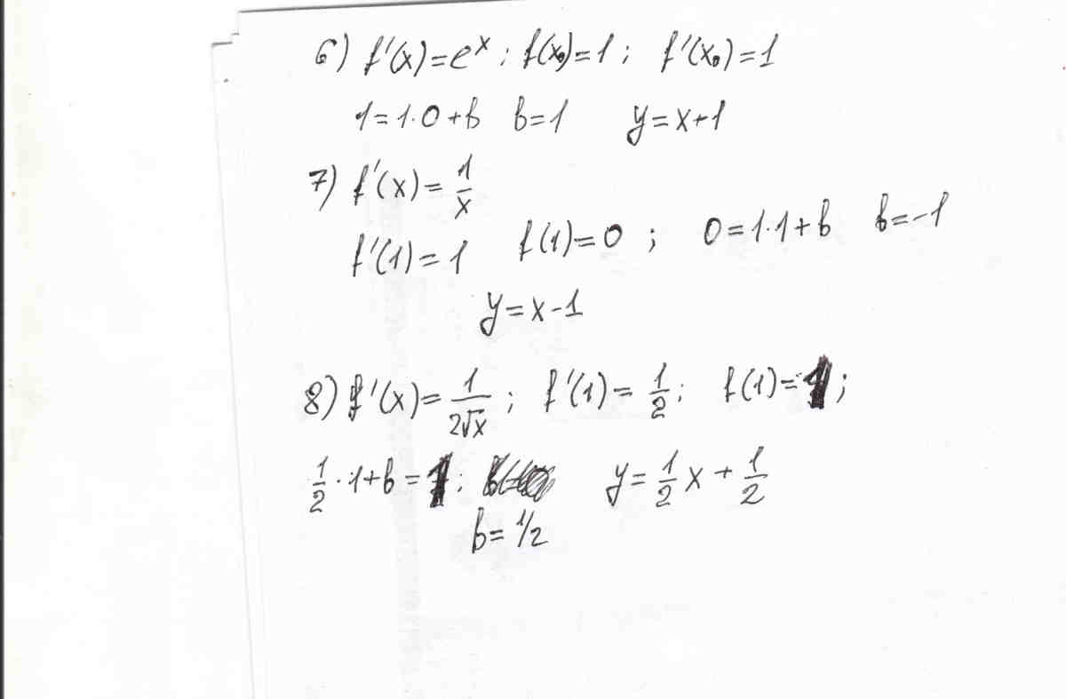
857 и 860
Приложения:
Ответы
Автор ответа:
0
решение в приложении...................................
Приложения:
Похожие вопросы
Предмет: Немецкий язык,
автор: 6755175
Предмет: Русский язык,
автор: zolypa
Предмет: Русский язык,
автор: IvanUragan
Предмет: География,
автор: Elisaveta12082017
Предмет: Математика,
автор: oksana702