Предмет: Математика,
автор: hfifPl
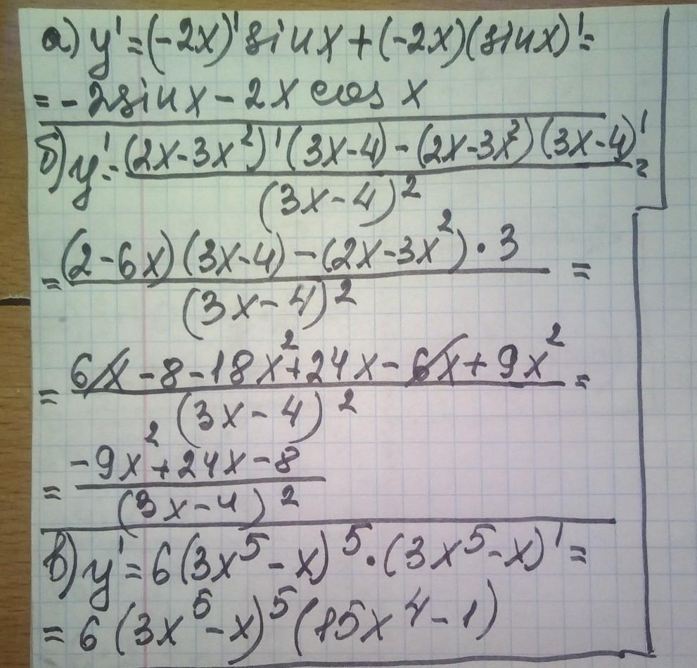
Знайдіть Похідну функції а) -2хsinx, б, в
Приложения:
Ответы
Автор ответа:
1
Ответ:
решение смотри на фотографии
Приложения:
Похожие вопросы
Предмет: Русский язык,
автор: dbrbkbpf
Предмет: Английский язык,
автор: isa25
Предмет: Окружающий мир,
автор: 5390
Предмет: Русский язык,
автор: ainura390580
Предмет: Математика,
автор: sahar7777