Предмет: Математика,
автор: rihei64200
Если бы каждый из двух множителей увеличили на 2, их произведение увеличилось бы на 30. На сколько увеличится произведение этих множи- телей, если каждый из них увеличить на 4?
Ответы
Автор ответа:
0
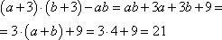
Ответ:Пусть первый сомножитель равен a, а второй b, их произведение равно ab. При увеличении этих сомножителей на 2 их произведение возрастает на 12, то есть:
Пошаговое объяснение:
Приложения:
Похожие вопросы
Предмет: Русский язык,
автор: fiftiKaMeHb
Предмет: Окружающий мир,
автор: родюля
Предмет: Қазақ тiлi,
автор: 19694
Предмет: Литература,
автор: egor199937
Предмет: Математика,
автор: vikakonahina919