Предмет: Алгебра,
автор: Danilstonoga
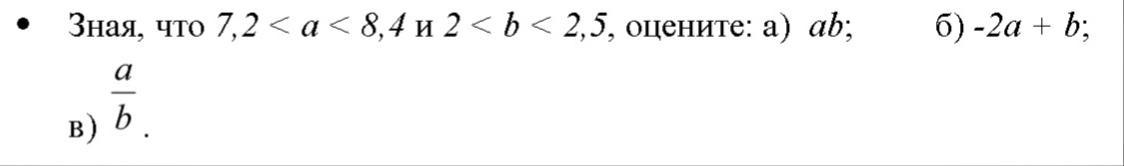
помогите прошууу, как это решать?
Приложения:
Ответы
Автор ответа:
1
Ответ:
Объяснение:
!!!!!!!!!!!!!!!!!!!!!!!!!!
Приложения:
Похожие вопросы
Предмет: Английский язык,
автор: Мурка2004
Предмет: Английский язык,
автор: islam281
Предмет: Русский язык,
автор: syunyaev2013
Предмет: Математика,
автор: oksik1988
Предмет: Алгебра,
автор: anime88