Предмет: Алгебра,
автор: gbon35000
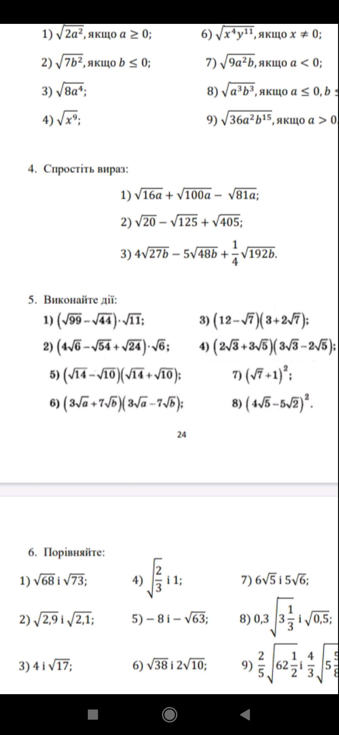
Помогите пожалуйста с номером 5 в пятом 5,6,7
ДАМ СТО БАЛЛОВ!!!
Приложения:
Ответы
Автор ответа:
1
Я все расписал в файле
Приложения:
Похожие вопросы
Предмет: Қазақ тiлi,
автор: шоколад179
Предмет: Русский язык,
автор: лия124
Предмет: Окружающий мир,
автор: nelligalina77
Предмет: Химия,
автор: Vladyslav23
Предмет: Литература,
автор: toshakovanadez