Предмет: Математика, автор: Аноним

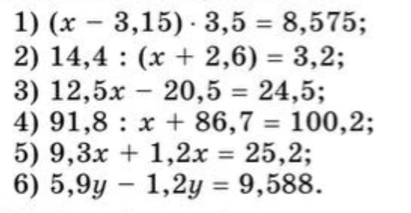
Вирішить рівняння. Даю 40 балів до 10:50 треба

Приложения:

Аноним: Потрібно з всіма діями
larisaserova53: я все сделала подробно

Ответы

Автор ответа: larisaserova53
1

Ответ:

Смотри решение на фото.

Приложения:

Аноним: Можна спитать а звідки в 1 рівнянні з‘явилося 11,025?
larisaserova53: 3,15*3,5=11,025
larisaserova53: Каждый множитель в скобке умножили на 3,5
Аноним: Аааа поняв дякую
Похожие вопросы
Предмет: Русский язык, автор: msergey123
У охотника жили в комнате два маленьких лисёнка. Это были шустрые и беспокойные зверьки. Днём они спали под кроватью, а к ночи просыпались и поднимали возню — носились по всей комнате до самого утра. Так разыграются лисята, так расшалятся, что бегают по моему приятелю, как по полу, пока тот не прикрикнет на них. Эти лисята были настоящие ловкачи.

Раз! — и по занавеске взберётся лисёнок прямо до самого верха. Два! — он уже на высоком шкафу.

А вот и на комоде, а вот оба таскают друг друга за шиворот. Как-то пришёл охотник со службы, а лисят нет. Стал он их искать... Заглянул на шкаф — на шкафу нет. Отодвинул комод — и там нет никого. И под стульями нет. И под кроватью нет. И тут мой приятель даже испугался. Видит — охотничий сапог, что лежал в углу, шевельнулся, поднялся, свалился набок. И вдруг поскакал по полу. Так и скачет, перевёртывается, подпрыгивает. Что за чудо такое? Подскочил сапог поближе. Глядит охотник — из сапога хвост высовывается. Схватил он лисёнка за хвост и вытащил из сапога, встряхнул сапог — и другой выскочил.

Вот какие ловкачи
1 задание.найти предложение с однородными членами,подчеркнуть их в тексте 2 задание выписать из текстаслова,распределяя по группам,проверяемая безударная гласная в корне слова.И непроверяемая безударная гласная в корне
Предмет: Математика, автор: demonika74