Предмет: Физика,
автор: yaroslavkostyrya
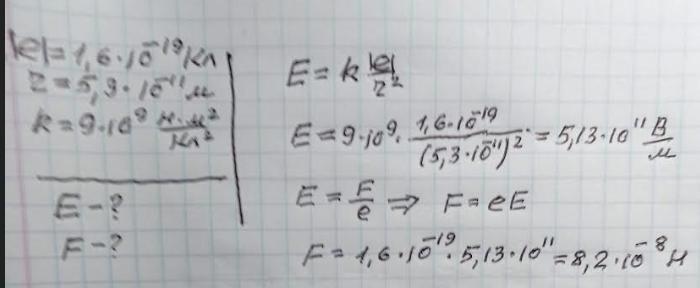
Визначте напруженість поля, що його створює протон на відстані
5,3 · 10-11 м від нього. Яка сила діє на електрон, що знаходиться в цій
точці?
Ответы
Автор ответа:
1
Ответ: 5,13· 10¹¹ В/м 82 нН
Объяснение:
Приложения:
yaroslavkostyrya:
Спасибо большое
Похожие вопросы
Предмет: Английский язык,
автор: karkarich1
Предмет: Русский язык,
автор: kppiut
Предмет: Русский язык,
автор: tort5
Предмет: Алгебра,
автор: MarselNnry
Предмет: Немецкий язык,
автор: elizaveta121076