Предмет: Математика,
автор: sosososoxjfjdj
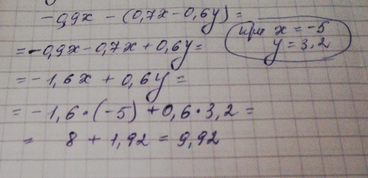
- 0,9x - (0,7 х - 0,6у)
Eсли х= -5; y= 3,2
Упростите и найдите значение выражения
Ответы
Автор ответа:
0
Ответ:
Смотри решение на фото..
Приложения:
Похожие вопросы
Предмет: Русский язык,
автор: 12345678910369
Предмет: Английский язык,
автор: izan88
Предмет: Русский язык,
автор: sna1980
Предмет: История,
автор: nikitachilik
Предмет: Алгебра,
автор: elaver2014