Предмет: Физика,
автор: arekusei89
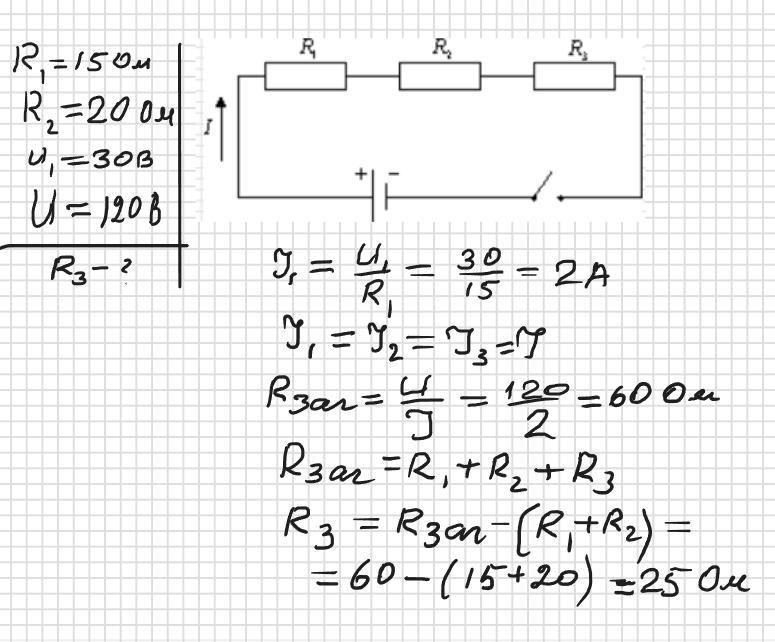
1. Послідовно з’єднані три резистори. Два з них мають опір 15 і 20 Ом. Загальна напруга на ділянці 120 В, напруга на першому – 30 В. Знайти опір третього резистора. Накреслити схему. ПЖПЖПЖПЖ
Ответы
Автор ответа:
1
Ответ: 25 Ом
Объяснение: Див. додаток
Приложения:
arekusei89:
спасибо вам большое
очень помогли
Похожие вопросы
Предмет: Русский язык,
автор: ЧижоваМилена2001г
Предмет: Русский язык,
автор: sadll
Предмет: Русский язык,
автор: kir27ill2005
Предмет: Математика,
автор: natalan75244