Предмет: Алгебра, автор: zruevairina

Представьте в виде квадрата двучлена 25x^2-20ax+4a^2 прошуууу!!!!!! 15 баллов!


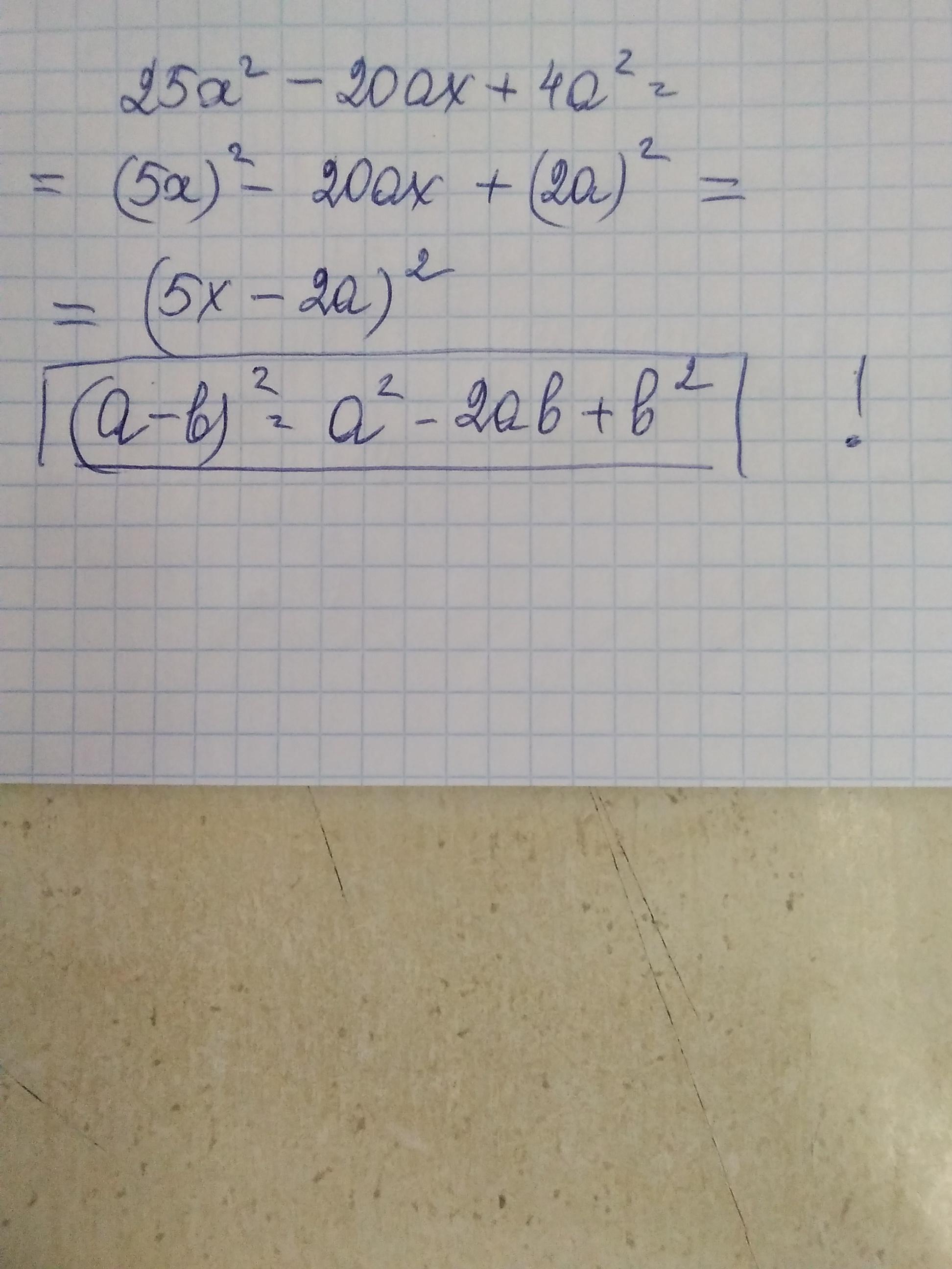
MizoriesKun: (5х-2а)²
zruevairina: Можете расписать подробно , прошу
MizoriesKun: Это формула квадрат разности)))
MizoriesKun: (a-b)²=a²-2ab+b²

Ответы

Автор ответа: larisaserova53
1

Ответ:

Смотри решение на фото..

Приложения:

zruevairina: Спасибо большое , но не могли бы вы расписать подробнее т.к учительне принемает :( буду очень благодарна
larisaserova53: Фото скинула другое, это все по формуле сокращённого умножения делается
larisaserova53: ниже я её написала в рамочек, посмотри и ты поймешь
larisaserova53: Посмотри, там тебе ещё ответ скинули, более подробно, Спиши оттуда
Автор ответа: MizoriesKun
0

Смотри............................

Приложения:
Похожие вопросы
Предмет: Литература, автор: viktor9935