Предмет: Физика,
автор: zelskaxrustuna098
СРОЧНО ПРМОЖІТЬ . ДАЮ 100БАЛОВ!!!!!!!!!!!!!!!!!!!!!!!!!!!!!!!!!!!!
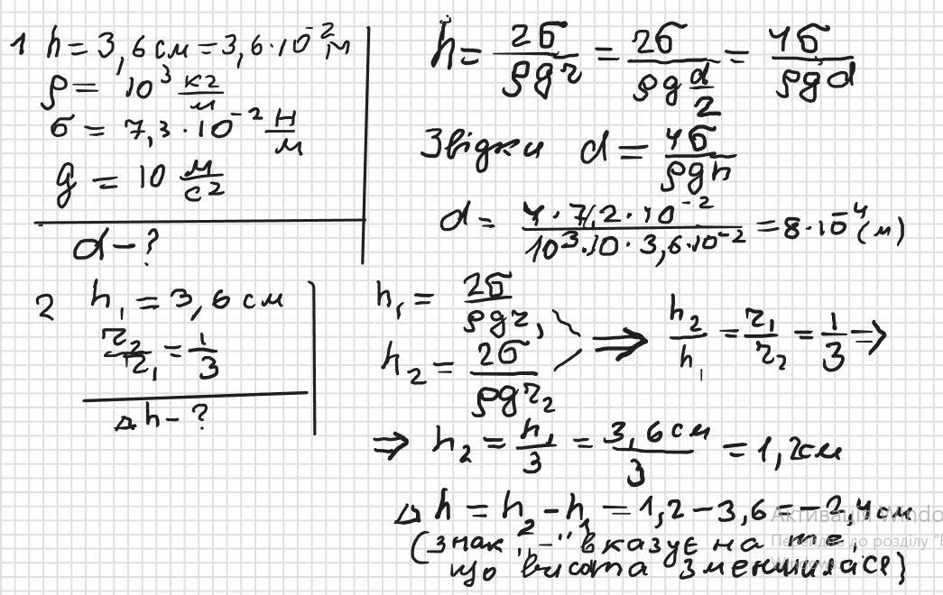
Вода в капілярі піднялася на висоту 3.6 см. Визначте діаметр капіляра. На скільки зміниться висота підняття рідини в капілярі, якщо взяти капіляр втричі більшого радіуса? перенести дослід на Марс? Вважайте, що g(з)≈ 10 м/с2, g(М)≈ 4 м/с2.
Ответы
Автор ответа:
2
Ответ: 0,8 мм; зменшиться на 2,4 см; збільшиться на 5,4 см
Объяснение: Див. додаток
Приложения:
Похожие вопросы
Предмет: Українська мова,
автор: alupiv
Предмет: Английский язык,
автор: ildar1161
Предмет: Английский язык,
автор: vbb1
Предмет: Русский язык,
автор: WinLokker
Предмет: История,
автор: caaaip