Предмет: Математика,
автор: pastusokroma888
спрости вираз у дужках після чого розкрий дужки
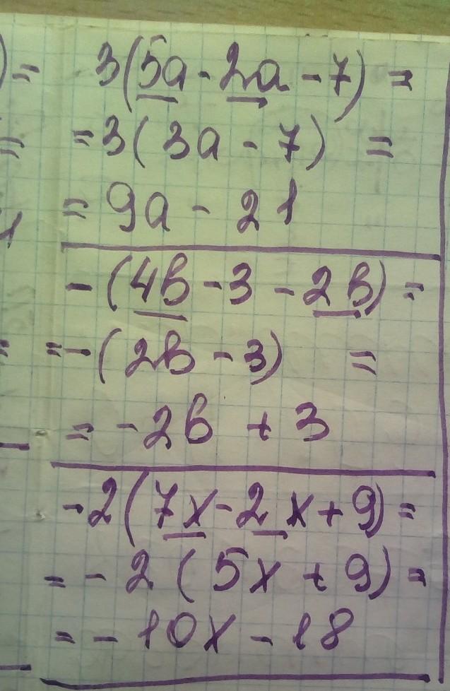
1)3(5a-2a-7)
2)-(4b-3-2b)
3)-2(7x-2x+9)
Ответы
Автор ответа:
1
Ответ:
решение смотри на фотографии
Приложения:
Автор ответа:
2
Ответ:
Пошаговое объяснение:
1) 3(5а - 2а - 7) = 15а - 6а - 21 = 9а - 21
2) - (4в - 3 - 2в) = - 4в + 3 + 2в =
- 2в + 3
3) -2(7х - 2х + 9) = - 14х + 4х - 18 =
- 10х - 18
Похожие вопросы
Предмет: Английский язык,
автор: oreshkova1719
Предмет: Русский язык,
автор: natatatat37
Предмет: Русский язык,
автор: тима156
Предмет: Литература,
автор: Аноним
Предмет: Геометрия,
автор: ElinaSer