Предмет: Физика,
автор: igor2008test
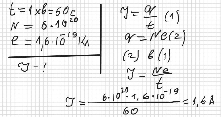
Яка сила струму в провіднику, якщо через нього за 1 хв., проходить 6 -10° електронів?
zybkov1950:
Що це записано: 6 -10°?. Запишіть нормально
6*10 в 20 степени
Ответы
Автор ответа:
2
Ответ: 1,6 А
Объяснение: Див. додаток
Приложения:
Здравствуйте, можете пожалуйста помочь с физикой
Похожие вопросы
Предмет: Русский язык,
автор: Аноним
Предмет: Русский язык,
автор: 111654
Предмет: Английский язык,
автор: adrenalinegl
Предмет: Геометрия,
автор: MilenaLove123
Предмет: Русский язык,
автор: marina20783