Предмет: Математика,
автор: ZD75
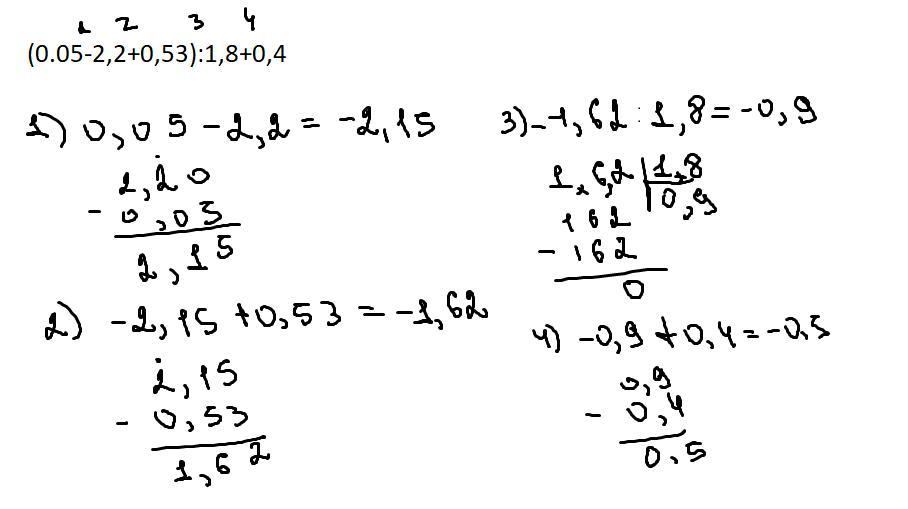
(0.05-2,2+0,53):1,8+0,4
Столбиком пж
Ответы
Автор ответа:
1
Ответ: -0,5
Пошаговое объяснение:
на фото
Приложения:
ZD75:
спасибо большое
Автор ответа:
1
Ответ:
(0,05-2,2+0,53)÷1,8+0,4
-1,62÷1,8+0,4
-0,9+0,4
-0,5
Похожие вопросы
Предмет: Українська мова,
автор: Аноним
Предмет: Русский язык,
автор: паштет17
Предмет: Английский язык,
автор: Алеська0258
Предмет: Українська мова,
автор: yanamarsenyk
Предмет: Химия,
автор: Аноним