Предмет: Физика,
автор: kiril9156
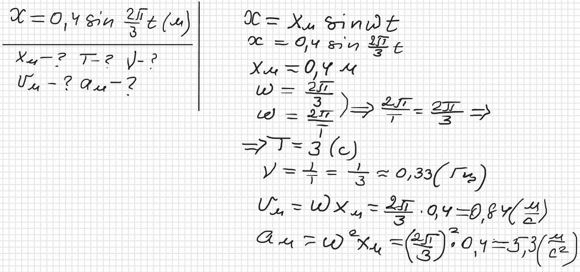
Допоможіть вирішити задачу, задача на фото
Приложения:
Ответы
Автор ответа:
1
Ответ: Див. додаток
Объяснение: Див. додаток
Приложения:
Похожие вопросы
Предмет: Английский язык,
автор: CoolBoy9unis
Предмет: Русский язык,
автор: Аноним
Предмет: Английский язык,
автор: яна1124
Предмет: Математика,
автор: masha2224
Предмет: Математика,
автор: отличник714