Предмет: Алгебра,
автор: dianakharhcenkodk
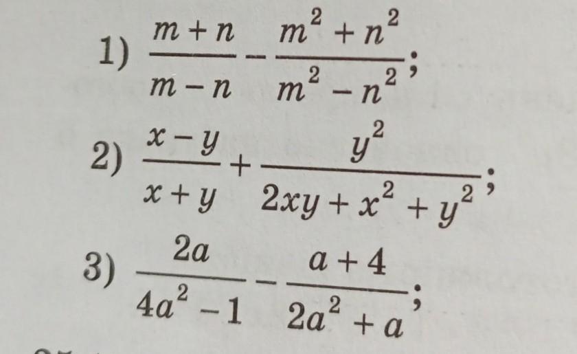
спростіть вираз:
ДОПОМОЖІТЬ
Приложения:
Ответы
Автор ответа:
1
ОтветОтветОтветОтветООтвеОтветОтветОтветОтветООтветветОтветОтветОтветтветОтветОтветОтвет:
Объяснение:
Приложения:
dianakharhcenkodk:
дякую.
Похожие вопросы
Предмет: Русский язык,
автор: sleta1998A
Предмет: Русский язык,
автор: суперв
Предмет: Окружающий мир,
автор: 89172609110
Предмет: Математика,
автор: rahmaevrail201
Предмет: География,
автор: marfoladanil80