Предмет: Алгебра,
автор: hakievd
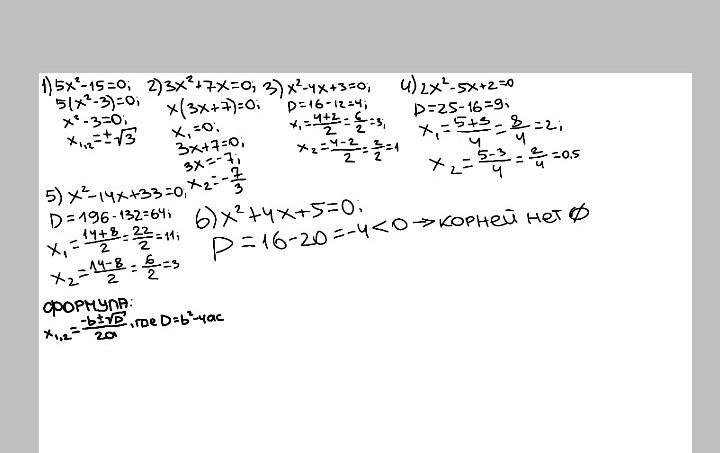
ДАМ 30 БАЛЛОВ! Решите плиз! Первое задание выполнить через дискриминант
Приложения:
Ответы
Автор ответа:
7
Ответ:
на изображении
Объяснение:
на изображении
Приложения:
Похожие вопросы
Предмет: Английский язык,
автор: Zloycyclik
Предмет: Окружающий мир,
автор: ирина1340
Предмет: Английский язык,
автор: 15Lizo4ka15
Предмет: Химия,
автор: solovey99
Предмет: Математика,
автор: eeonix