Предмет: Математика,
автор: soniysoniy24
помогите пожалуйста я уже 3 час не могу решить это
Приложения:
Ответы
Автор ответа:
0
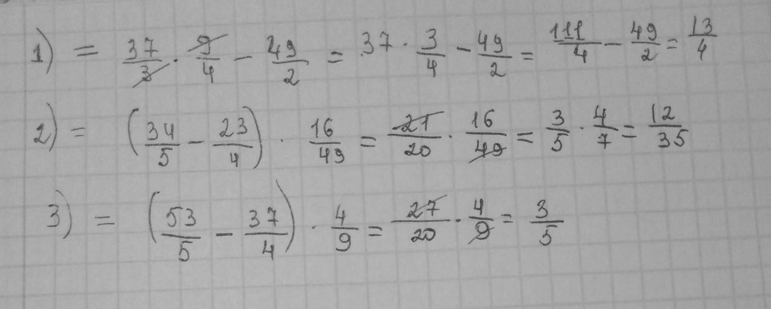
1)=37•9/4-49/2=37•3/4-49/2=111/4-49/2=13/4
Приложения:
Похожие вопросы
Предмет: Английский язык,
автор: riurik
Предмет: Русский язык,
автор: juliazor27
Предмет: Русский язык,
автор: Аноним
Предмет: Математика,
автор: Aleksandrav33
Предмет: Химия,
автор: sarkis20041