Предмет: Физика,
автор: nikopol366
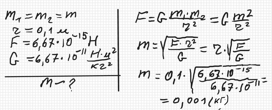
ДОПОМОЖІТЬ БУДЬ ЛАСКА!!!ДАЮ 50 БАЛІВ. Дві однокові кулі знаходяться на відстані 0,1 м один від одного та притягуються із силою . Визначити масу кожної кульки.
nikopol366:
Чомусь не показує цифри але після "притягують із силою" є 6.67•10^-15 Н .
Ответы
Автор ответа:
0
Ответ: 1 г
Объяснение:Див. додаток
Приложения:
Вибачте але ви зможете зробити також інші задачі у мене в профелі?
Похожие вопросы
Предмет: Русский язык,
автор: Ирина1726
Предмет: Русский язык,
автор: Uliana5231
Предмет: Английский язык,
автор: Аноним
Предмет: Музыка,
автор: sofia921
Предмет: Алгебра,
автор: fifi9594