Предмет: Алгебра,
автор: maksimenkomaksim616
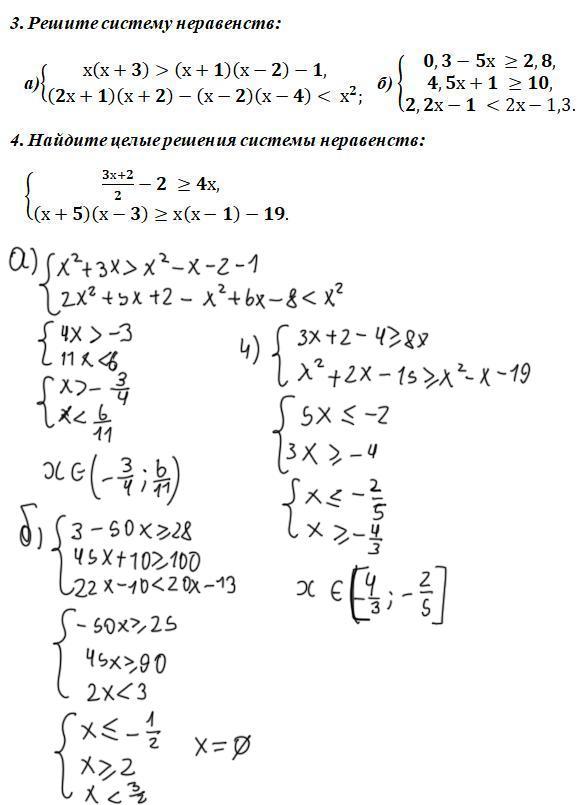
Помогите СРОЧНО!!!!! Дам 65 балов
Приложения:
Ответы
Автор ответа:
0
Ответ:
Линейное уравнение
Объяснение:
Приложения:
Похожие вопросы
Предмет: Русский язык,
автор: упражнений2152класс
Предмет: Русский язык,
автор: упражнений2152класс
Предмет: Русский язык,
автор: DimaKulakov
Предмет: Биология,
автор: Lizunka2003
Предмет: Русский язык,
автор: girl484