Предмет: Геометрия,
автор: estelygacha
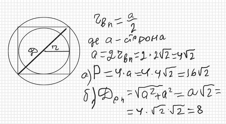
Радіус кола, вписаного в правильний чотирикутник, дорівнює 2корінь із 2см. Обчисли: а) пе риметр чотирикутника; б) діаметр кола, описаного навколо чотирикутника.
Ответы
Автор ответа:
1
Ответ: а)16 б) 8
Объяснение: Див. додаток
Приложения:
Похожие вопросы
Предмет: Русский язык,
автор: Аноним
Предмет: Русский язык,
автор: Дарья1174
Предмет: Русский язык,
автор: tanyusha2005otl
Предмет: Қазақ тiлi,
автор: usypovdanil2018
Предмет: Қазақ тiлi,
автор: katyarylina06