Предмет: Алгебра,
автор: tyua
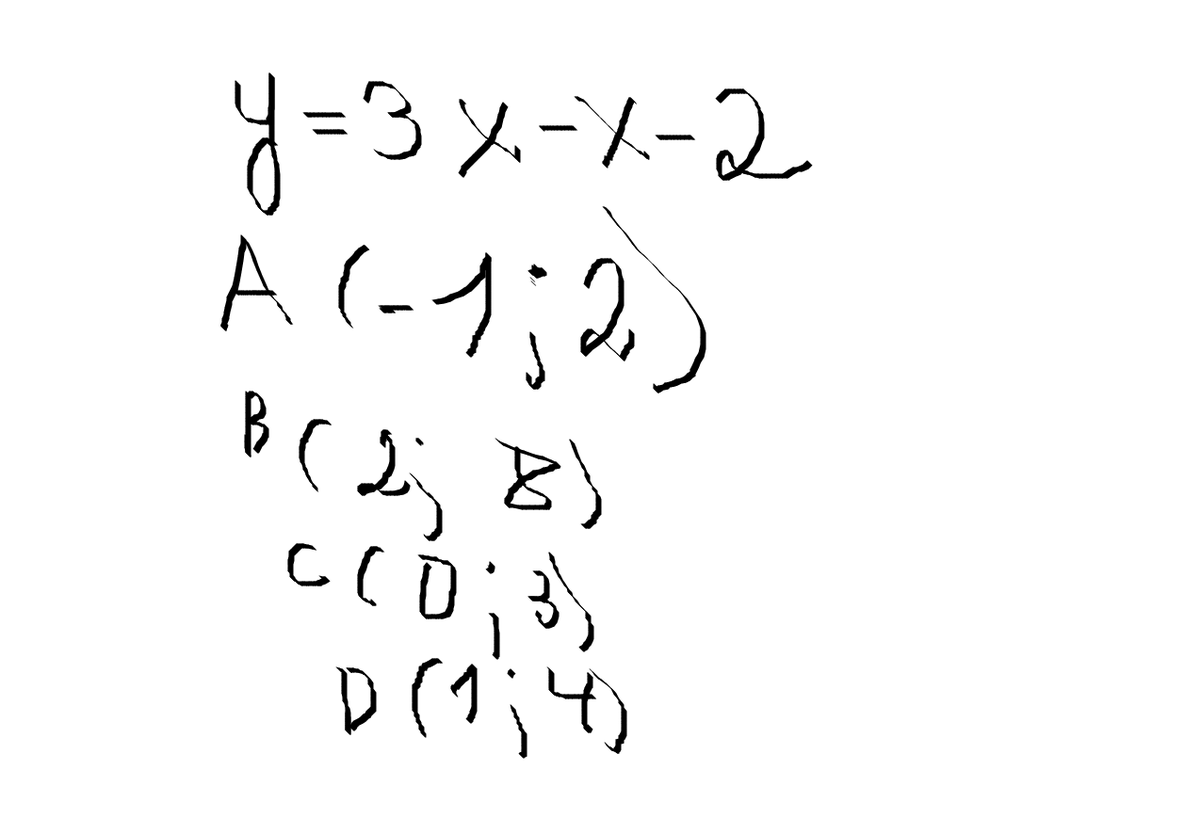
Проходит ли график функции y=3x^2-x-2 через точки
Приложения:
Ответы
Автор ответа:
0
Подходят точки A и B. Когда будешь в следующий раз выполнять такие задания, то просто подставляй первые числа, данные в скобках, за место x и если полученное число совпадет со вторым числом в скобке (y), то точка соответствует условию.
Автор ответа:
0
тему пропустил просто
Автор ответа:
0
Главное, чтобы сейчас понял)
Автор ответа:
0
спасибо)
Похожие вопросы
Предмет: Геометрия,
автор: Аноним
Предмет: Математика,
автор: matveydan07
Предмет: Қазақ тiлi,
автор: julia2008515
Предмет: Математика,
автор: Юля09098
Предмет: Алгебра,
автор: Detroed