Предмет: Алгебра,
автор: nfndggougou7338
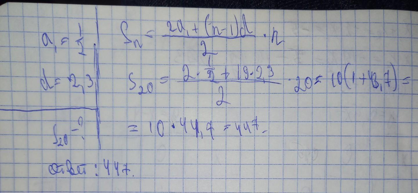
Дана арифметична прогресія (an). Відомо, що a1=0,5 і d=2,3.
Обчисли суму перших двадцяти членів арифметичної прогресії.
Запиши відповідь у вигляді числа, округливши його до десятих
Ответы
Автор ответа:
1
Ответ:
447
Объяснение:
.................
Приложения:
Похожие вопросы
Предмет: Українська література,
автор: malyarchykbohdana
Предмет: Русский язык,
автор: Аноним
Предмет: Русский язык,
автор: abrahamyanarus2
Предмет: Литература,
автор: Dayanaberta
Предмет: Английский язык,
автор: 13102005bibe