Предмет: Физика,
автор: andriyav2
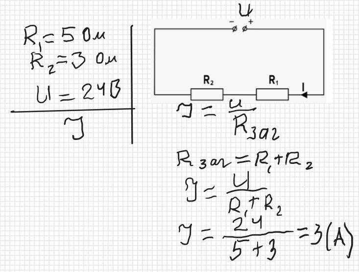
Резистори, опори яких 5 і 3 Ом, з’єднані послідовно й підключені до джерела постійної напруги 24 В. Знайдіть силу струму в колі.
Ответы
Автор ответа:
0
Ответ: 3 А
Объяснение: Див. додаток
Приложения:
Похожие вопросы
Предмет: Українська мова,
автор: Аноним
Предмет: Русский язык,
автор: 2003Наташка
Предмет: Другие предметы,
автор: димон273
Предмет: Русский язык,
автор: GelyaNikitina87
Предмет: Алгебра,
автор: i9278519054