Предмет: Физика,
автор: karinasoldatova82
ДАМ 60 БАЛЛОВ!!!
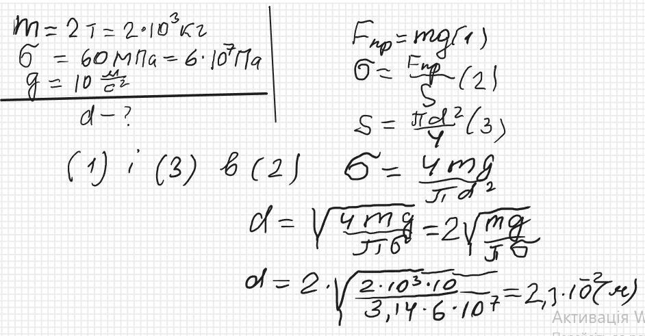
підйомний кран рівномірно переміщує вантаж масою 2 т. при якому діаметрі сталевого троса механічна напруга не перевищуватиме 60 МПа?
Ответы
Автор ответа:
3
Ответ: 2,1 см
Объяснение: Див. додаток
Приложения:
Похожие вопросы
Предмет: Английский язык,
автор: Тетцуя
Предмет: Русский язык,
автор: поля612
Предмет: Русский язык,
автор: даша10011
Предмет: Математика,
автор: evakokosikova
Предмет: Музыка,
автор: Lustaa