Предмет: Математика,
автор: Isarulit
Помогите пожалуйста даю 20 баллов
Приложения:
Ответы
Автор ответа:
1
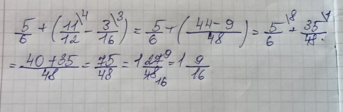
Ответ:
1 9/16
Пошаговое объяснение:
Автор ответа:
1
Ответ:
вариант 4
////////////
Приложения:
glebschapik:
в условии говорилось, что надо раскрыть скобки, но не суть важно
Похожие вопросы
Предмет: Русский язык,
автор: продвинутый1
Предмет: Русский язык,
автор: саша27100
Предмет: Қазақ тiлi,
автор: tka4enko1983
Предмет: Химия,
автор: aaaaaddd122
Предмет: Русский язык,
автор: 152lina