Предмет: Математика,
автор: shhhhm1
Срочно , пожалуйста!!!
Приложения:
Ответы
Автор ответа:
0
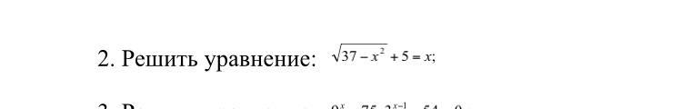
Ответ:
х=6
Пошаговое объяснение:
объяснение на фото.............
Приложения:
Похожие вопросы
Предмет: Русский язык,
автор: sonnnil
Предмет: Қазақ тiлi,
автор: Viktorinka007
Предмет: Русский язык,
автор: Лен111111
Предмет: Қазақ тiлi,
автор: topskaya200243
Предмет: Биология,
автор: 55552574