Предмет: Алгебра,
автор: karimovrinat125
помогите решить с обьяснениями
Приложения:
Ответы
Автор ответа:
0
Ответ:
Объяснение:
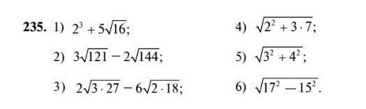
1) 2³+5√16=8+5*4=28
2) 3√121 - 2√144=3*11-2*12=33-36=-3
3)2√3*27 - 6√2*18= 2√81 - 6√36=2*9-6*6=18-36=-18
4) √2²+3*7=√4+3*7=√25=5
5)√3²+4²=3+4=7
√17²-15²=17-15=2
Похожие вопросы
Предмет: Русский язык,
автор: Valeriya6a
Предмет: Русский язык,
автор: i1610757
Предмет: Окружающий мир,
автор: maksimtaschyan
Предмет: Қазақ тiлi,
автор: XiuminN1