Предмет: Математика,
автор: nazarijzakrevskij
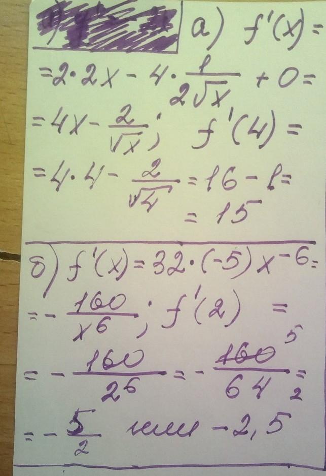
2.вычислить производную в точке
Приложения:
Ответы
Автор ответа:
1
Ответ:
решение смотри на фотографии
Приложения:
nazarijzakrevskij:
Спасибо выручил
помогите еще с одним вопросом в профиле 2 сверху
Похожие вопросы
Предмет: Английский язык,
автор: oksana167
Предмет: Русский язык,
автор: KateSkorik
Предмет: Другие предметы,
автор: Nikitabhg
Предмет: Қазақ тiлi,
автор: naatyanastasia2000
Предмет: История,
автор: alena20059