Предмет: Геометрия,
автор: annaket1201
ПОЖАЛУЙСТА ДАЮ 50 БАЛОВ, ОЧЕНЬ НАДО!!!
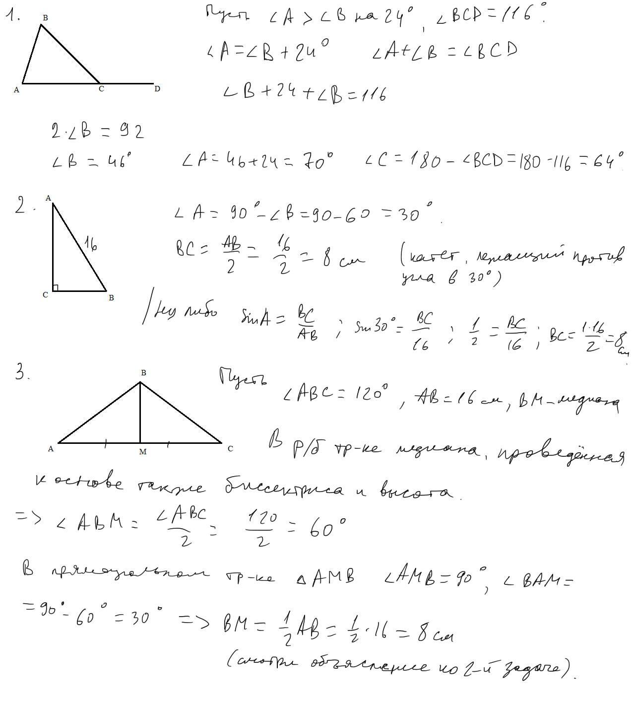
1. Один з внутрішніх кутів трикутника на 24° більший за другий, а зовнішній кут при
вершині третього кута дорівнює 116°. Знайти кути трикутника.
2. У прямокутному трикутнику АВС, ∠С=90°,∠В=60°, АВ=16см. Знайти ВС.
3. В рівнобедреному трикутнику кут, протилежний основі, дорівнює 120°, бічна сторона дорівнює 16см. Знайти медіану, проведену до основи.
Сделайте с рисунками пожалуйста!!!
Ответы
Автор ответа:
3
Ответ:
ну вот так
Объяснение:
Приложения:
Похожие вопросы
Предмет: Русский язык,
автор: ЕленаТопЧег
Предмет: Русский язык,
автор: підрзрлжрб
Предмет: Английский язык,
автор: Вася2702
Предмет: История,
автор: Аноним